Features
- A and C speeds
- High-speed, low-power CMOS
- Typical tSK(o) (output skew) < 250ps
- Low input and output leakage ≤1µA (max.)
- ESD > 2000V per MIL-STD-883, Method 3015
- > 200V using machine model (C = 200pF, R = 0)
- Balanced output drivers: ±24mA
- Reduced system switching noise
- Typical VOLP (Output Ground Bounce) < 0.6V at VCC = 5V, TA = 25 °C
- Available in 48-pin SSOP and TSSOP packages
Description
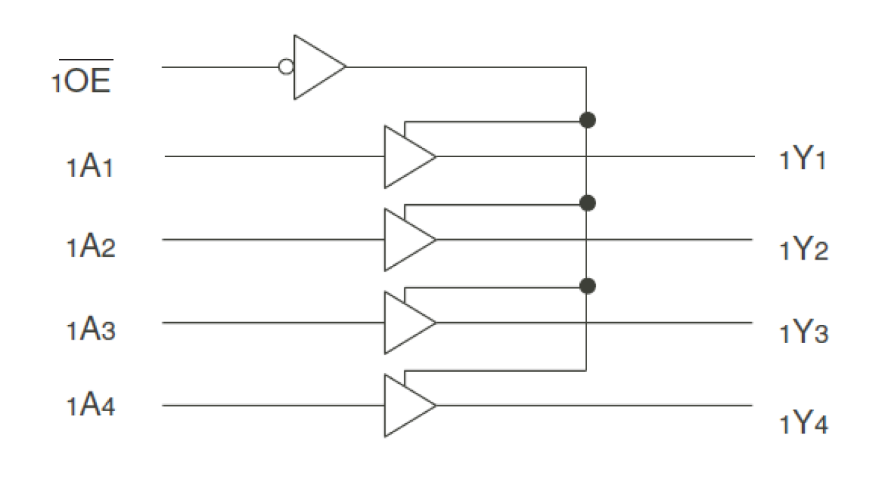
The 74FCT162244T 16-bit high-speed, low-power buffer/line driver can operate as an independent 4-bit, 8-bit, or combined 16-bit operation. The 74FCT162244T reduces the need for external series terminating resistors while still providing very high-speed operation for loads of less than 200pF. The device operates at -40 °C to +85 °C. For the Mil version, see 54FCT162244T.
Parameters
| Attributes | Value |
|---|---|
| Function | Buffer/Driver |
| Pkg. Code | PVG48 |
| Temp. Range (°C) | -40 to 85°C |
| Bus Width (bits) | 16 |
| Core Voltage (V) | 5 |
| Speed Grade | A |
Package Options
| Pkg. Type | Pkg. Dimensions (mm) | Lead Count (#) | Pitch (mm) |
|---|---|---|---|
| SSOP | 15.9 x 7.5 x 2.3 | 48 | 0.64 |
Applied Filters:
Loading