Warning message
Please log in or register to access this secure document.
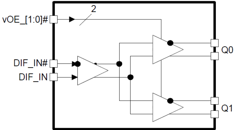
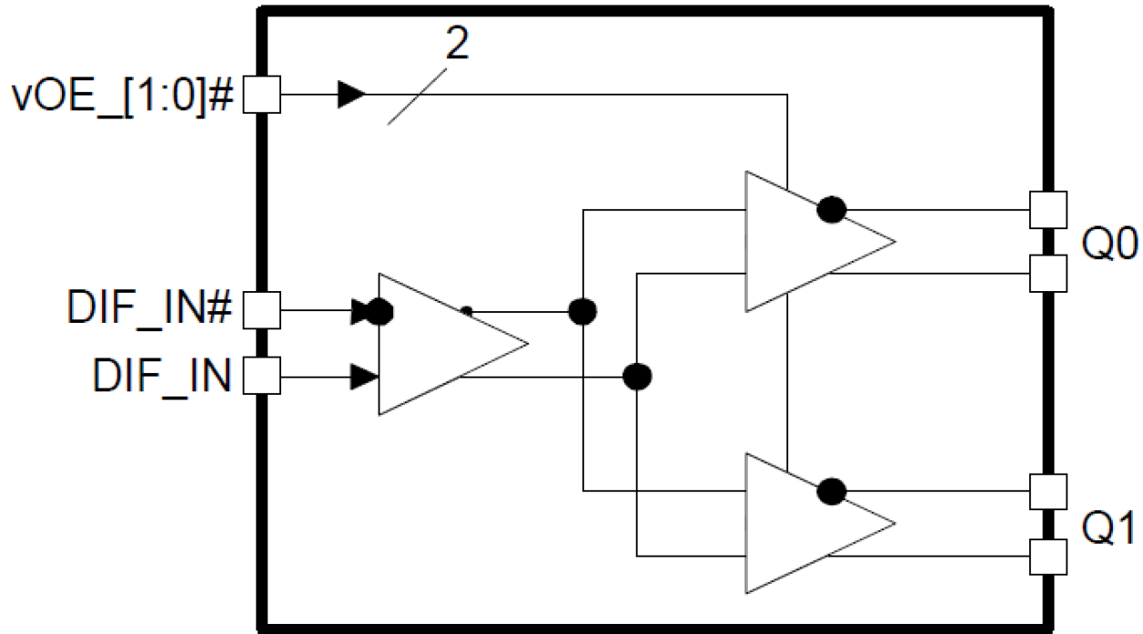
Features
- Extremely low additive phase jitter; supports DB200H requirements
- 3.3V operation; standard industry power supply
- 2 OE pins (1 for each output); easy control of clocks to CPU sockets
- HCSL-compatible input; supports popular devices
- 1MHz to 350MHz operating frequency; covers all popular Ethernet frequencies
- Space saving 3mm × 3mm 16-QFN; minimal board space
Description
The 9INT31H200 is a 2-output very high-performance HCSL fanout buffer for high-performance interconnect applications. It can be used at speeds up to 350MHz and is compliant with the DB200H specification.
Parameters
| Attributes | Value |
|---|---|
| Temp. Range (°C) | -40 to 85°C |
| Product Category | Clock Buffers & Drivers |
Package Options
| Pkg. Type | Pkg. Dimensions (mm) | Lead Count (#) | Pitch (mm) |
|---|---|---|---|
| VFQFPN | 3.0 x 3.0 x 1.0 | 16 | 0.5 |
Applications
- DB200H
- Ethernet
- PCIe
Applied Filters: